5  Reproduction “as is” of the publised results

5.1 Original source code execution

Some code modifications are required for the code to run. These edits are not intended to test the robustness of the analysis, just for the successful run of the scripts.

We will use the following function that explicitly declares which modification are made in the source code.

Code
library(tidyverse)

if (!stringr::str_detect(getwd(), "PA_matching")) {
  setwd("PA_matching")
}
if (!stringr::str_ends(getwd(), "replication_report")) {
  setwd("replication_report")
}
# A function to replace some parts of the code
replace_all <- function(pattern, replacement, file) {
  readLines(file) %>%
    str_replace_all(pattern, replacement) %>%
    writeLines(file)
}

5.1.1 Fetch data from Google Earth Engine

Mofify the paths

Code
GEE_data_script <- "PA_matching_asis/001 - dl_GEE.py"
wolf_path <- "/home/chrisgraywolf/shared/analysis/PA_matching/data_input/"
my_data_input <- paste0(getwd(), "/data_input/")
replace_all(pattern = wolf_path ,
            replacement = my_data_input,
            file = GEE_data_script)

Do-not re-execute this code: fetch existing data instead.

Code
GEE_data_script <- "PA_matching_asis/001 - dl_GEE.py"
source_python(GEE_data_script)
Code
# The code below saves the output data to a private data lake.
gee_pattern <- "(land|elev|loss|gain|cover|mask|travel_time|pop_dens).*tif"
# List the outputs of the GEE data fetching
gee_local <- list.files(path = "data_input", full.names = TRUE,
                  pattern = paste0("^", gee_pattern))
# Transform to specify their location on S3
gee_to_s3 <- paste0("Replication_wolf/", gee_local)
# Send to S3
map2(gee_local, gee_to_s3 , put_to_s3)
Code
# fetch from S3 the data gathered from Google Earth Engine

# The code below fetches the output data from a private data lake.
# naming pattern of files fetched from Google Earth Engine
gee_pattern <- "(land|elev|loss|gain|cover|mask|travel_time|pop_dens).*tif"
# Filter those files from bucket content
gee_in_s3 <- my_files %>%
  filter(str_detect(Key, 
                    paste0("Replication_wolf/data_input.", gee_pattern))) %>%
  pluck("Key")
# rename for local location
gee_to_local <- str_remove(gee_in_s3, "Replication_wolf/")
# Copy locally
map2(gee_in_s3, gee_to_local, save_from_s3)

5.1.2 Fetch species data from IUCN

Modify the script to enable it to run on another machine.

The column names in the official BOTW database are now in lowercase. It was apparently in uppercase when Wolf et al. processed the data. We need to modify the reference to one column name in the script for it to run.

Code
IUCN_data_script <- "PA_matching_asis/002 - dl_IUCN.R"
my_wd <- paste0(getwd(), "/")
wolf_path <- "/home/chrisgraywolf/analysis_desktop/PA_matching/"

replace_all(pattern = wolf_path, replacement = my_wd, file = IUCN_data_script)
replace_all(pattern = "put_your_token_here", replacement = my_key_api,
            file = IUCN_data_script)
# Column name to lowercase
replace_all(pattern = "SISID", replacement = "sisid", file = IUCN_data_script)

Add the required input data

Run the script

Code
source(IUCN_data_script)
Code
# Save the output data to S3

# Species data csv ------------------------------------------------------------
put_to_s3(from = "data_processed/species_data.csv", 
          to = "Replication_wolf/data_processed/species_data.csv")

# Bird shapefiles -------------------------------------------------------------
# List the bird shapefiles created by 002 - dl_IUCN.R
bird_shps <- list.files(path = "data_input/range_maps",
                        pattern = "BIRDS_.*", full.names = TRUE)
# Bundle them in an encrypted zip locally
system(paste0("zip -P ", my_key_zip, " birds_shps.zip ",
       paste(bird_shps, collapse = " ")))
# Send the local zip to S3
put_to_s3(from = "birds_shps.zip", 
          to = "Replication_wolf/data_input/range_maps/birds_shps.zip")
# Delete the local zip
file.remove("birds_shps.zip")

# elev.tif --------------------------------------------------------------------
# The main output of the script.
put_to_s3(from = "data_processed/rasters/elev.tif", 
          to = "Replication_wolf/data_processed/rasters/elev.tif")
Code
# Load the data 
save_from_s3(from = "Replication_wolf/data_processed/species_data.csv",
             to = "data_processed/species_data.csv")

# Fetch birds from S3
save_from_s3(from = "Replication_wolf/data_input/range_maps/birds_shps.zip",
             to = "birds_shps.zip")
system(paste("unzip -P", my_key_zip, "birds_shps.zip"))
file.remove("birds_shps.zip")

# species_data <- read_csv("data_processed/species_data.csv")
save_from_s3(from = "Replication_wolf/data_processed/rasters/elev.tif",
             to = "data_processed/rasters/elev.tif")

5.1.3 Compute species richness

We need to replace the specific path used by Wolf et al with a more generic path. 18 python packages and package modules are imported by the script but are not used in the analysis. We comment them to avoid dependency complications. The ray package is designed to work with some virtual memory that is not present on our configuration. We need to add a mention an option to enable ray to work with physical memory. We also need to modify the following command richness = results[0], as it correspond to a method to assign an array that is not allowed in recent numpy versions and returns an error. We therefore add .copy() to this command, to have richness = results[0].copy(), which now correspond to the correct way of proceeding with this operation in python.

Code
# Set target
species_richness_script <- "PA_matching_asis/003 - species_richness.py"
# change path
replace_all(pattern = "/home/chrisgraywolf/analysis_desktop/PA_matching/",
            replacement = paste0(getwd(), "/"),
            file = species_richness_script)

# List unused packages and modules
unused_packages <- c("affine", "ctypes", "functools", "geojson", "geopandas", 
                     "glob", "math", "matplotlib", "multiprocessing", 
                     "operator", "psutil", "random", "shapely")
unused_package_modules <- c("collections", "fiona", "osgeo", "pyproj")

# Comment the corresponding lines
map(unused_packages, ~replace_all(pattern = paste0("^import ", .x, ".*$"), 
                                  replacement = "\\# \\0",
                                  file = species_richness_script))
map(unused_package_modules, ~replace_all(pattern = paste0("^from ", .x, ".*$"), 
                                         replacement = "\\# \\0",
                                         file = species_richness_script))
# Add option to enable ray to use physical memory
ray_to_add <- paste("import os",
                    "os.environ[\"RAY_OBJECT_STORE_ALLOW_SLOW_STORAGE\"] = \"1\"",
                    "import ray",
                    sep = "\n")
replace_all(pattern = "import ray",
            replacement = ray_to_add,
            file = species_richness_script)
# Ray current modules
replace_all(pattern = "pool = ray.experimental.ActorPool(actors)",
            replacement = "pool = ray.util.ActorPool(actors)",
            file = species_richness_script)
# Correct array assignment
replace_all(pattern = "richness = results[0]$",
            replacement = "richness = results[0].copy()$",
            file = species_richness_script)

Run the file

Code
library(reticulate)
my_envname <- "replication-wolf"
use_condaenv(my_envname)
species_richness_script <- "PA_matching_asis/003 - species_richness.py"
source_python(species_richness_script)
Code
# Save outputs
put_to_s3(from = "data_processed/non-threatened.tif", 
          to = "Replication_wolf/data_processed/non-threatened.tif")
put_to_s3(from = "data_processed/threatened.tif", 
          to = "Replication_wolf/data_processed/threatened.tif")
Code
# Fetch outputs
# Save outputs
save_from_s3(from = "Replication_wolf/data_processed/non-threatened.tif", 
             to = "data_processed/non-threatened.tif")
save_from_s3(from = "Replication_wolf/data_processed/threatened.tif", 
             to = "data_processed/threatened.tif")

5.1.4 Join rasters

This steps corresponds to the file 004 - join_rasters.R, which original content can be examined below.

Code
#| echo: false
#| warning: false
#| class-output: "sourceCode python"

cat(readLines("PA_matching_asis/004 - join_rasters.R"), sep = "\n")

This script cannot be run without modification. The location of the working directory was specific to the author machine, we replace by a generic location. The script fetches data from Curtis et al [INSERT CITATION], but the URL has changed. We replace with the new URL and modify too the file name with is now all in lowercase. The URLs for Curtis et al. data and WWF data have changed There is a typo on line 136: an object called PA_dists is called but no object exists with this name, however an object PAs_dist (without a final “s”) was created on the previous code line

Code
join_script <- "PA_matching_asis/004 - join_rasters.R"
my_wd <- paste0(getwd(), "/")
# Change the working directory location
replace_all(pattern = "/home/chrisgraywolf/shared/analysis/PA_matching/", 
            replacement = my_wd,
            file = join_script)

replace_all(pattern = 'read_sf\\("data_input/PAs/WDPA_Jan2020-shapefile-polygons.shp"\\)',
            replacement = 'geoarrow::read_geoparquet_sf\\("data_input/PAs/WDPA_Jan2020_polygons.parquet"\\)',
            file = join_script)
            
replace_all(pattern = 'PAs_tab\\$geometry = NULL',
            replacement = 'PAs_tab = st_drop_geometry\\(PAs_tab\\)',
            file = join_script)
# Correct the typo in the code
replace_all(pattern = "PAs_buffer = PA_dists <= 10e3",
            replacement = "PAs_buffer = PAs_dist <= 10e3",
            file = join_script)

Gather data

Code
# Listing files in bucket
my_files <- get_bucket_df(bucket = "fbedecarrats",
                          prefix = "Replication_wolf",
                          region = "")
# Select PA shp
my_PAs <- my_files %>%
  filter(str_detect(Key, "/PAs/WDPA")) %>%
  pluck("Key")
# Create paths in local machine
my_PAs_dest <- my_PAs %>%
  str_remove("Replication_wolf/")
# Retrieve the data
map2(my_PAs, my_PAs_dest, save_from_s3)

# Select WWF shp
my_biomes <- my_files %>%
  filter(str_detect(Key, "/official/")) %>%
  pluck("Key")
# Create paths in local machine
my_biomes_dest <- my_biomes %>%
   str_remove("Replication_wolf/")
# Retrieve the data
map2(my_biomes, my_biomes_dest, save_from_s3)

Run script

Code
join_script <- "PA_matching_asis/004 - join_rasters.R"
source(join_script)

Save outputs

Code
# Save outputs
# List present tifs
# See which are not already in S3
processed_local <- list.files(path = "data_processed",
                              recursive = TRUE,
                              full.names = TRUE) %>%
  str_subset(., "vrt$", negate = TRUE)
# Listing files in bucket
my_files <- get_bucket_df(bucket = "fbedecarrats",
                          prefix = "Replication_wolf",
                          region = "")
processed_s3 <- my_files %>%
  filter(str_detect(Key, "/data_processed/")) %>%
  mutate(path = str_remove(Key, "Replication_wolf/")) %>%
  pluck("path")
to_put_s3 <- processed_local[!processed_local %in% processed_s3]
to_put_s3
path_in_s3 <- paste0("Replication_wolf/", to_put_s3)
# Put them in S3
map2(to_put_s3, path_in_s3, put_to_s3)
Code
# Listing files in bucket
my_files <- get_bucket_df(bucket = "fbedecarrats",
                          prefix = "Replication_wolf",
                          region = "") %>%
  filter(str_detect(Key, "keep$", negate = TRUE))

processed_s3 <- my_files %>%
  filter(str_detect(Key, "data_processed")) %>%
  mutate(path = str_remove(Key, "Replication_wolf/")) %>%
  pluck("path")
processed_local <- list.files(path = "data_processed",
                                   recursive = TRUE,
                                   full.names = TRUE)
to_save_local <- processed_s3[!processed_s3 %in% processed_local]
to_save_local
if (length(to_save_local) > 0) {
  path_s3_to_local <- paste0("Replication_wolf/", to_save_local)
  map2(path_s3_to_local, to_save_local, save_from_s3)
}

Execute the code

Code
join_script <- "PA_matching_asis/004 - join_rasters.R"
source(join_script)

Note : Message bizarre suite à lignes 78-93

ERROR 4: : No such file or directory
Warning 1: Can't open . Skipping it
ERROR 4: data_input/lossyear.vrt: No such file or directory
Warning messages:
1: In system(cmd, intern = TRUE) :
  running command '"/usr/bin/gdalbuildvrt" "data_input/lossyear.vrt" ""' had status 1
2: In system(cmd, intern = TRUE) :
  running command '"/usr/bin/gdalwarp" -te -17367530.4451614 -7342769.86350132 17366469.5548386 7342230.13649868 -tr 1000 1000 -t_srs "+proj=cea +lon_0=0 +lat_ts=30 +x_0=0 +y_0=0 +datum=WGS84 +ellps=WGS84 +units=m +no_defs" -of "VRT" "data_input/lossyear.vrt" "data_input/lossyear_proj.vrt"' had status 2

5.1.5 Match pixels on covariates

Code
matching_script <- "PA_matching_asis/005 - covariate_matching.jl"

# Modify the location of the working directory
my_wd <-getwd()

# The way Julia has to write pathes on windows is really weird
if (str_detect(str_to_lower(Sys.getenv("OS")), "windows")) {
  # Needs bunch of escape characters in the working directory
  my_wd <- str_replace_all(my_wd, "\\/", "\\\\\\\\\\\\\\\\\\\\")
  # \U and \s mean something so these letters get chopped in the process
  my_wd <- str_replace_all(my_wd, "ers", "Users")
  # Need also to specify the location of the specific tif
  replace_all(pattern = "data_processed\\/rasters\\/cover.tif", 
            replacement = "data_processed\\\\\\\\rasters\\\\\\\\cover.tif",
            file = matching_script)
} 

# Change the working directory location
replace_all(pattern = "/home/chrisgraywolf/shared/analysis/PA_matching/", 
            replacement = my_wd,
            file = matching_script)

# Need to specify the output type (DataFrame) in CSV.read command 
replace_all(pattern = "CSV\\.read\\(\"data_processed/PAs_tab\\.csv\"\\)", 
            replacement = 
              "CSV\\.read\\(\"data_processed/PAs_tab\\.csv\", DataFrame\\)",
            file = matching_script)

# No need to load this package: not used, and throws useless warnings
replace_all(pattern = "using RCall",
            replacement = "",
            file = matching_script)

# Update syntax for joins: join(..., kind = inner) => innerjoin()
replace_all(pattern = "out = join\\(data_treatment,",
            replacement = "out = leftjoin\\(data_treatment,",
            file = matching_script)
replace_all(pattern = "on = \\:PAs,",
            replacement = "on = \\:PAs\\)",
            file = matching_script)
replace_all(pattern = "kind = \\:left\\)",
            replacement = "",
            file = matching_script)

# Need to add a dot before equal of in-place operations
replace_all(pattern = "out\\[\\:,var\\] = mean\\(df_small\\[\\:,var\\]\\)",
            replacement = "out\\[\\:,var\\] .= mean\\(df_small\\[\\:,var\\]\\)",
            file = matching_script)

# Update joining syntax
replace_all(pattern = "join(data_treatment_coarsened[!,vcat\\(:PAs,:STATUS_YR,match\\)], data_control_coarsened, on = match, kind = :inner)",
            replacement = "innerjoin(data_treatment_coarsened[!, vcat\\(:PAs, :STATUS_YR, match\\)], data_control_coarsened, on = match\\)",
            file = matching_script)

# On line 141, update inner join syntax
replace_all(pattern = "join\\(data_treatment_coarsened",
            replacement = "innerjoin\\(data_treatment_coarsened",
            file = matching_script)
replace_all(pattern = ", kind = \\:inner\\)",
            replacement = "\\)",
            file = matching_script)

# Update the by() syntax => combine(groupby())
replace_all(pattern = 'by\\(df, setdiff\\(names\\(df\\), \\["treatment"\\]\\)\\)',
            replacement = 'combine\\(groupby\\(df, setdiff\\(names\\(df\\), \\["treatment"\\]\\)\\)\\)',
            file = matching_script)
replace_all(pattern = "by\\(data_treatment, \\:PAs\\)",
            replacement = "combine\\(groupby\\(data_treatment, \\:PAs\\)\\)",
            file = matching_script)
replace_all(pattern = "by\\(data_matched, \\:PAs\\)",
            replacement = "combine\\(groupby\\(data_matched, \\:PAs\\)\\)",
            file = matching_script)

# Adjust DataFrame syntax and dot in front of equal for in-place operation
replace_all(pattern = "\\(df\\[n\\] = NaN\\)",
            replacement = "\\(df\\[\\:, n\\] .= NaN\\)",
            file = matching_script)

# This also has to be updated to follow DataFrame syntax
replace_all(pattern = "mean\\(convert\\(Array,df_small\\[\\:,cont_vars\\]\\), dims=1\\)\\[1,\\:\\]",
            replacement = "\\[mean\\(col\\) for col = eachcol\\(df_small\\[\\:,cont_vars\\]\\), row=1\\]",
            file = matching_script)

# Uncomment the lines launching the generation of the main results
replace_all(pattern = "#data_matched",
            replacement = "data_matched",
            file = matching_script)
replace_all(pattern = "#CSV.write",
            replacement = "CSV.write",
            file = matching_script)


n_cores <- parallel::detectCores()
replace_all(pattern = "addprocs\\(12\\)",
            replacement = paste0("addprocs\\(", n_cores - 1, "\\)"),
            file = matching_script)
Code
library(JuliaCall)
julia_source(matching_script)
Code
# Save outputs
# List present tifs
# See which are not already in S3
processed_local <- list.files(path = "data_processed",
                              recursive = TRUE,
                              full.names = TRUE) %>%
  str_subset(., "vrt$", negate = TRUE)
# Listing files in bucket
my_files <- get_bucket_df(bucket = "fbedecarrats",
                          prefix = "Replication_wolf",
                          region = "")
processed_s3 <- my_files %>%
  filter(str_detect(Key, "/data_processed/")) %>%
  mutate(path = str_remove(Key, "Replication_wolf/")) %>%
  pluck("path")
to_put_s3 <- processed_local[!processed_local %in% processed_s3]
to_put_s3
path_in_s3 <- paste0("Replication_wolf/", to_put_s3)
# Put them in S3
map2(to_put_s3, path_in_s3, put_to_s3)
put_to_s3("data_processed/PA_df.RDS", "Replication_wolf/data_processed/PA_df.RDS")

5.1.6 Merge the results

Code
join_results_script <- "PA_matching_asis/006 - join_results.R"
# Do not change working directory
replace_all(pattern = "setwd\\(project_dir\\)",
            replacement = "# setwd\\(project_dir\\)",
            file = join_results_script)
replace_all(pattern = 'read_sf\\("data_input/PAs/WDPA_Jan2020-shapefile-polygons.shp"\\)',
            replacement = 'geoarrow::read_geoparquet_sf\\("data_input/PAs/WDPA_Jan2020_polygons.parquet"\\)',
            file = join_results_script)
replace_all(pattern = 'wb\\(indicator="NY.GDP.PCAP.KD", startdate=2000, enddate=2018\\)',
            replacement = 'read_csv\\("GDP_PC_PPP2010_2000-2018.csv"\\)',
            file = join_results_script)
# Legacy regions in country_codes: https://vincentarelbundock.github.io/countrycode/reference/codelist.html
replace_all(pattern = '"region"',
            replacement = '"region23"',
            file = join_results_script)
            
replace_all(pattern = "/home/chrisgraywolf/shared/analysis/PA_loss/data/",
            replacement = "PA_matching_asis/",
            file = join_results_script)
Code
source(join_results_script)

5.1.7 Compute SVC model

Code
svc_model_script <- "PA_matching_asis/007 - SVC model.R"
replace_all(pattern = "select",
            replacement = "dplyr::select",
            file = svc_model_script)
replace_all(pattern = '\\"main\\"',
            replacement = '\\"change\\"',
            file = svc_model_script)
Code
source(svc_model_script)
Code
# Save outputs
# List present tifs
# See which are not already in S3
processed_local <- list.files(path = "output",
                              recursive = TRUE,
                              full.names = TRUE) %>%
  str_subset(., "vrt$", negate = TRUE)
# Listing files in bucket
my_files <- get_bucket_df(bucket = "fbedecarrats",
                          prefix = "Replication_wolf",
                          region = "")
processed_s3 <- my_files %>%
  filter(str_detect(Key, "/output/")) %>%
  mutate(path = str_remove(Key, "Replication_wolf/")) %>%
  pluck("path")
to_put_s3 <- processed_local[!processed_local %in% processed_s3]
to_put_s3
path_in_s3 <- paste0("Replication_wolf/", to_put_s3)
# Put them in S3
map2(to_put_s3, path_in_s3, put_to_s3)

5.1.8 Perform country level analysis

Code
country_analysis_script <- "PA_matching_asis/007 - country level analysis.R"
# ne_load fetches from the temporary location (which is lost if we run in 
# different threads with `source(script)`). This ensures the data is fetched
replace_all(pattern = "ne_load",
            replacement = "ne_download",
            file = country_analysis_script)
replace_all(pattern = 'read.dbf\\("data_input/PAs/WDPA_Jan2020-shapefile-polygons.dbf", as.is=TRUE\\)',
            replacement = 'arrow::read_parquet\\("data_input/PAs/WDPA_Jan2020_polygons.parquet", col_select = -Shape\\)',
            file = country_analysis_script)

5.1.9 Produce summary figures

Code
summary_figures_script <- "PA_matching_asis/007 - summary figures.R"

replace_all(pattern = 'read_sf\\("data_input/PAs/WDPA_Jan2020-shapefile-polygons.shp"\\)',
            replacement = 'geoarrow::read_geoparquet_sf\\("data_input/PAs/WDPA_Jan2020_polygons.parquet"\\)',
            file = summary_figures_script)

replace_all(pattern = "ne_load",
            replacement = "ne_download",
            file = summary_figures_script)

replace_all(pattern = "select",
            replacement = "dplyr::select",
            file = summary_figures_script)

replace_all(pattern = '54030',
            replacement = '"ESRI:54030"',
            file = summary_figures_script)

5.1.10 Results

In this section, we reproduce a series of outputs generated in the code of the script 007 - summary figures.R that correspond to the main results reported in the original study. We find moderate differences in descriptive statistics and negligible ones on the outcomes on conservations.

5.1.10.1 Conservation extent

The original study reports > “Globally, 15.7% of forest is formally protected”

Code
tab <- table(cover[] >= 30, PA_rast[], useNA="always")
prop.table(tab,1) # 0.18650047

We find that 18.7% of the forest is formally protected. This raises the questions about whether the authors of the original study used the same version of WDPA or biome extent than the ones we had access to for the replication, although we fetched it from the same sources. We will try to better under

5.1.10.2 PA characteristics

The original study reports: > “Prior to matching with control areas, our primary PA dataset contained 25,348 PAs. However, 7,177 (28.3%) of these PAs could not be matched with any unprotected pixels having similar matching-covariate values. Consequently, after applying coarsened exact matching to identify control areas, our final dataset contained 18,171 PAs, with a total area of 5,293,217 km2 (Fig. 1 and Extended Data Fig. 1).” > “In absolute terms, the 18,171 PAs in our analysis had an average annual forest loss rate of ~1.53 Mha.”

Code
nrow(readRDS("data_processed/PA_df.RDS") %>% dplyr::filter(group == "main"))
addmargins(table(matched=df$matched, cat=df$cat_simple, gp=df$group))

In our replication, we have in the primary PA dataset we find 25850 Protected areas fitting the analysis criteria defined by the source code. Of those 18,728 could be matched protected area, covering 6,167,491 km2. Our replication finds ~1.71 Mha of deforestatoin in the 18,728 analyzed.

Code
average_initial <- 5293217 / 18171 # 291.3003
additional_PAs <- 18728 - 18171 # 557
additional_area <- 6167491 - 5293217 # 874274
average_additional <- additional_area / additional_PAs # 1569.612

This suggest that we did not get exactly the same WDPA dataset from the beginning, although the one we used (WDPA_Jan2020_Public) is the one referred to in the source code (WDPA_Jan2020-shapefile-polygons.shp), and mentionned in the bibliography of the original study (reference 59 is: “The World Database on Protected Areas (WDPA) (IUCN and UNEP-WCMC, accessed 1 January 2020)”). We have 557 additional PAs in our replication, corresponding to 874,274 km2. According to the relative number and areas, we deduce that these 557 additionnal PAs have an average are of 1569 km2, compared to an average of 291 km2 for the PAs reported. We conclude that the additional PAs tend to be larger than the ones used in the original dataset, but we are not able to identify them as the data used for the original study have not been published.

5.1.10.3 PAs without loss

The original study reports: > In our analysis, 28.7% of the PAs did not have any forest loss. Among PAs with known management category, deforestation rates were highest in nonstrict PAs in Africa (0.31% per year), Europe (0.29% per year) and South America (0.19% per year), and lowest in strict PAs in Oceania (0.02% per year)

Code
mean(df$PA_loss ==  0)

In our replication, we find that 27.9% of of the PAs did not have any forest loss.

Code
n_no_loss_replic <- round(18728*0.279) # 5225.112
n_no_loss_origin <- round(18171*0.287) # 5215.077
n_no_loss_additionnal <- n_no_loss_replic - n_no_loss_origin
n_no_loss_additionnal / additional_PAs

In absolute terms, this means that the original study found that 5215 PAs had no forest loss, which corresponds to a 28.7% of 18,171 PAs, while the replication finds 5225 PAs without forest loss (28.7% of PAs with no forest loss), which corresponds to a 27.9% of 18,728 PAs. This means that, of the 557 additionnal PAs included in the replication, only 10 had no forest loss (1.8%).

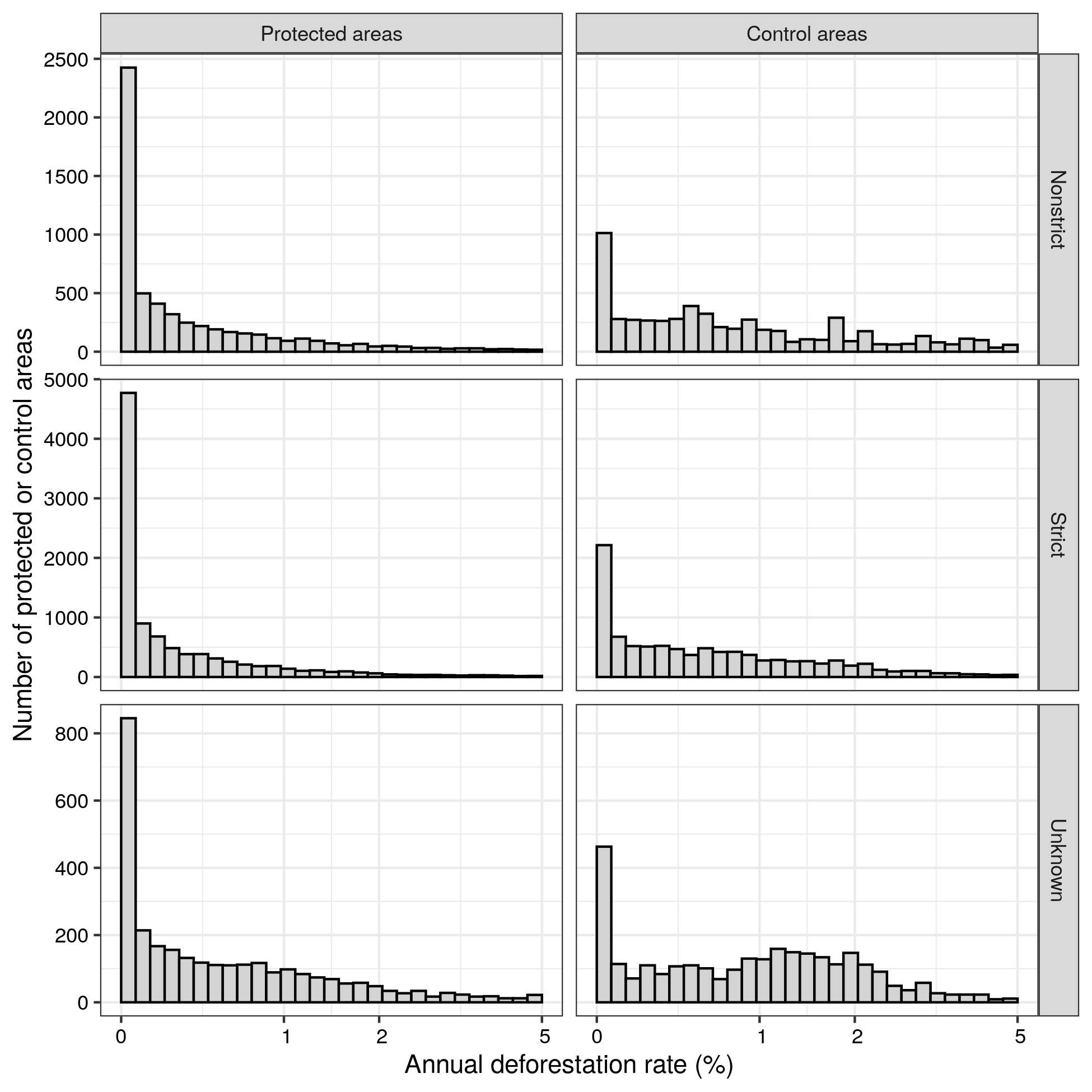
We can also reproduce figure 2: Fig. 2: Deforestation rate distributions

5.1.10.4 Conservation impact: before 2001

The original study reports in its abstract: > Overall, protected areas did not eliminate deforestation, but reduced deforestation rates by 41%.

And in its results section:` > Overall, PAs reduced, but did not eliminate, deforestation; the median annual deforestation rate in control areas (0.54%; s.d. = 2.21%) was 4.97 times higher than within PAs (0.11% per year; s.d. = 2.45%) (Fig. 2). In absolute terms, the 18,171 PAs in our analysis had an average annual forest loss rate of ~1.53 Mha. In our analysis, 28.7% of the PAs did not have any forest loss. Among PAs with known management category, deforestation rates were highest in nonstrict PAs in Africa (0.31% per year), Europe (0.29% per year) and South America (0.19% per year), and lowest in strict PAs in Oceania (0.02% per year)

Code
diff_mean <- round(100*(1-mean(inside)/mean(outside)),3) # 42.74% instead of 41.12% 
diff_add_median <- round(100*median(outside-inside),3) # median additive difference of 0.226% vs 0.194%
iqr_diff <- IQR(outside-inside) # 0.008525058
out_median <- median(outside) # 0.005685758 -> 0.57% instead of 0.54%
out_sd <- sd(outside) # 0.02531807 instead of 2.21%
in_median <- median(inside) # 0.00116665 almost identical to 0.11% per year
in_ds <- sd(inside) # 0.02413182 vs. 2.45%
diff_median <- median(outside)/median(inside) # 4.873577
annual_area_deforest <- (100*sum(df$GIS_AREA * df$cover_loss/100)/18)/1e6 # 1.71)/ instead of 1.53
defor_by_status_continent <- tab[order(tab$value, decreasing=TRUE),]
# Africa Nonstrict 0.30544782
# Europe Nonstrict 0.24789509
# South America Nonstrict 0.20705785
# ...
# Oceania    Strict 0.03195096
# Oceania Nonstrict 0.03166633

The results of the comparisons are very close in relative terms. In absolute term the difference is 11.8% higher: 1.71 Mha in annual loss instead of 1.53.

We reproduce the Figure 3:

Fig. 3: Forest loss in and around PAs

5.1.10.5 Conservation impact 2002-2017

The original study reports: > We identified 9,875 PAs established between 2002 and 2017 that were suitable for inclusion in our spatiotemporal analysis. The establishment of these PAs was associated with a moderate increase in the deforestation rate (average = 0.19%; s.e.m. = 0.02%), whereas control areas saw a larger increase in the deforestation rate (average = 0.61%; s.e.m. = 0.02%) over the same time span (Extended Data Fig. 3). This overall pattern was observed for both strict and nonstrict PAs in lower and higher GDP countries (Extended Data Fig. 3).

Code
treat_loss_before <- round(100*mean(df$PA_loss_before), 3) # 0.431
treat_loss_after <- round(100*mean(df$PA_loss_after), 3) # 0.477
P = df$PA_loss_after - df$PA_loss_before
C = df$Control_loss_after - df$Control_loss_before
reduc_treat <- round(100*mean(P), 3)
reduc_cont <- round(100*mean(C), 3)
reduc_treat_sd 100*sd(P)/sqrt(length(P))
reduc_cont_sd <-  100*sd(C)/sqrt(length(C))
cont_loss_brefore <- round(100*mean(df$Control_loss_before), 3) # 0.751
cont_loss_after <- round(100*mean(df$Control_loss_after), 3) # 1.032
contin_diff <- round(100*tapply(df_small$value, list(df_small$variable, df_small$Continent), mean),3)
#                 South America Oceania North America Europe  Asia Africa
# Control areas           0.084   0.065        -0.014  0.597 0.273  0.818
# Protected areas         0.133   0.214        -0.125  0.154 0.130  0.293

Check difference of averages before! Reported ratios amount to DiD, but initial levels cast doubts on parallel trends, etc.

5.1.11 Run matching sensitivity

Code
replace_all(pattern = "",
            replacement = "",
            file = join_results_script)